 |
|
 |
Вернуться к выбору узлов мотора
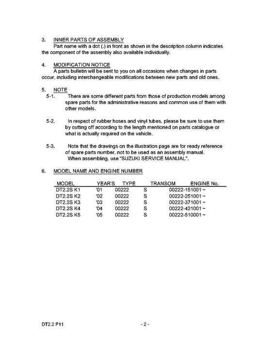
ДЕТАЛИРОВКА ДЛЯ МОДЕЛИ: SUZUKI DT2.2SK4(P11) K4
Каталог
Год выпуска двигателя: 2004
Регион: General Export No.2
Цвет: Shadow Black Metallic
Для данного раздела каталог не обнаружен
Время выполнения запроса 0.3198390007019 сек. |