 |
|
 |
Вернуться к выбору узлов мотора
ДЕТАЛИРОВКА ДЛЯ МОДЕЛИ: SUZUKI DT2.2SK5(P11) K5
Каталог
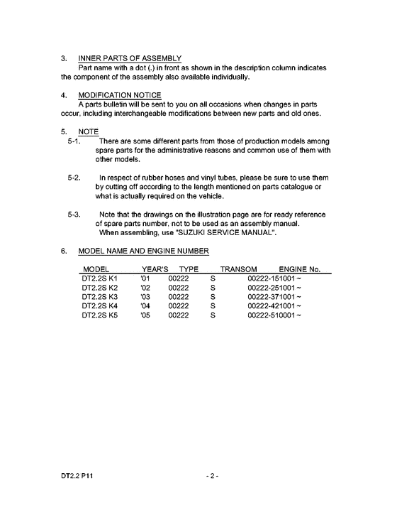
Год выпуска двигателя: 2005
Регион: General Export No.2
Цвет: Shadow Black Metallic
Для данного раздела каталог не обнаружен
Время выполнения запроса 0.32832908630371 сек. |